Connect marketing spend to actual growth

We implement funnel models, LTV models, churn analysis, and multi-touch attribution that show which campaigns, channels, and customer segments drive profitable growth.

Most companies track vanity metrics (page views, signups, email opens) without connecting them to closed revenue. We build attribution models that link every touchpoint to dollars, so you can start investing more in what works and cut what doesn't.

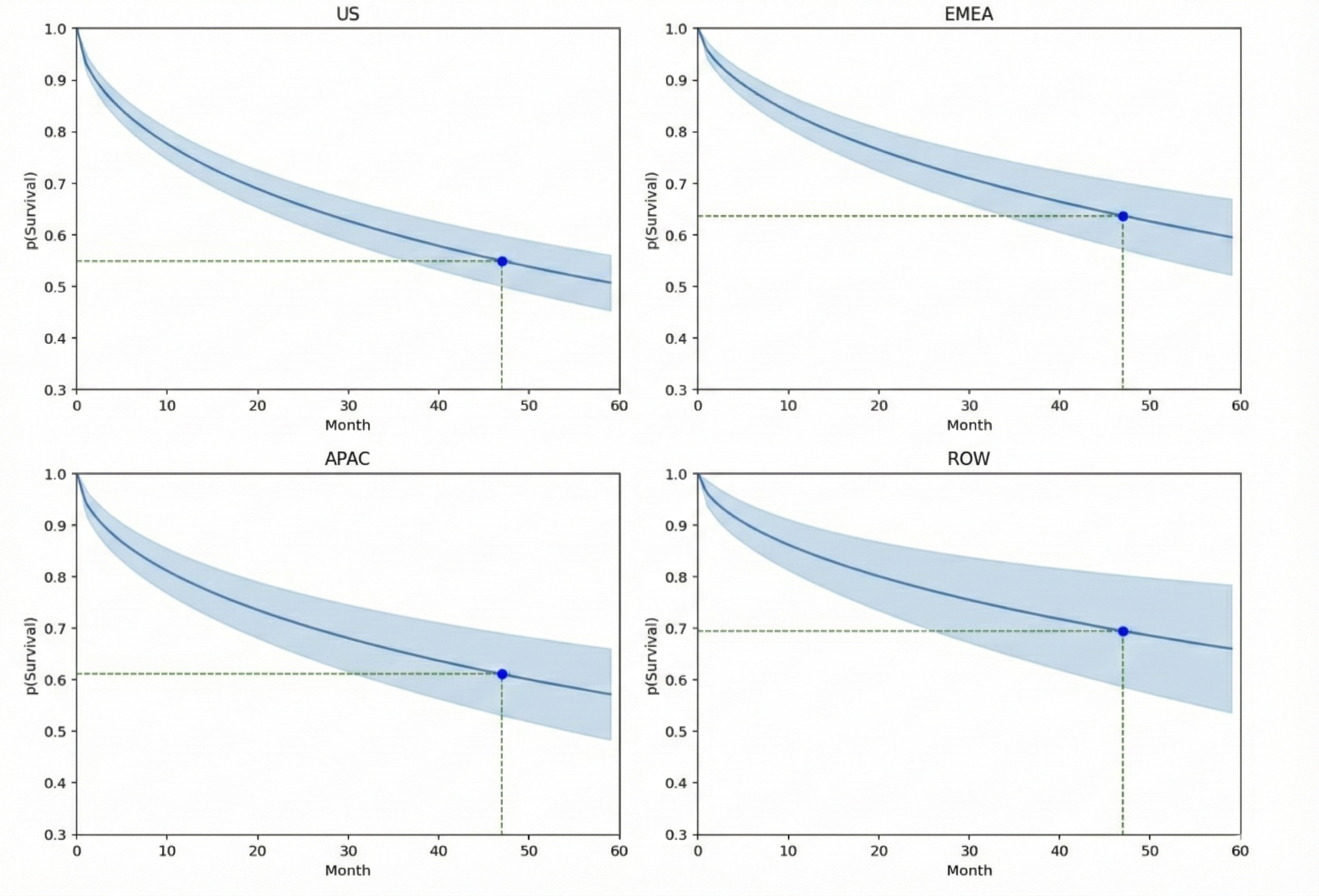
Customer Survival Analysis

The Revenue Intelligence Gap

It's a familiar story. Marketing celebrates 10,000 new signups. Sales says the leads are low quality. Finance asks why CAC increased 40% while revenue stayed flat. Each team looks at different dashboards, optimizes for different metrics, and nobody can definitively answer what's driving revenue.

We help companies build unified revenue analytics that connect every touchpoint to closed deals. Not just last-click attribution, but models that account for the full customer journey and help inform where to invest next.

What we build

Multi-Touch Attribution Models
Sophisticated attribution models that show which channels and campaigns drive revenue, not just activity.
Cohort & LTV Analysis
Customer lifetime value models by cohort, acquisition channel, and segment to identify your most profitable customers.
Churn Prediction Models
Statistical models that identify at-risk customers based on usage patterns, engagement signals, and historical churn factors.

Our Approach

Revenue metrics that inform decisions

We integrate CRM systems, marketing tools, product analytics, and billing systems into unified dashboards that answer which campaigns, channels, and customer behaviors drive revenue growth.

Conversion Funnels
Track conversion rates from visitor → lead → MQL → SQL → closed-won. Identify drop-off points and bottlenecks in your sales process.
CAC & Payback Period
Calculate customer acquisition cost by channel and campaign, with payback period analysis to guide budget allocation decisions.
Customer Segmentation
Segment customers by demographics, behavior patterns, and revenue contribution to identify and target your highest-value profiles.
Predictive Lead Scoring
Build statistical models that score leads based on historical conversion patterns, helping sales prioritize high-probability opportunities.

Ideal For

Data-driven revenue optimization

Improve Conversion Rates
Identify friction points that slow down sales cycles, and optimize targeting and messaging by identifying campaigns that drive the highest quality prospects.
Reduce Inefficient Spend
Identify underperforming channels and campaigns so you can reallocate budget to higher-ROI activities.
Better Retention
Implement churn prediction models to identify at-risk customers early, enabling your account management teams to intervene with targeted retention efforts.

Ready to connect your data to revenue?

Work with us to build attribution models and revenue analytics that show which activities drive profitable growth.